Research

Energy modelling and analysis

I have been working with energy monitoring data since 1999. In particular I'm interested in considering methods for extracting information which would be useful for energy managers. This typically involves developing models and fitting them to prepared data. Information is extracted by making predictions and comparing predictions to actual measured data.

This work is producing impacts in the real world. We have deployed systems which have saved money and reduced emissions in public authorities across Europe.

Modelling

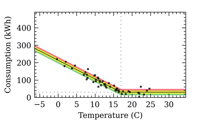
Scatter chart showing consumption vs temperature

Analysis

Histogram showing analysis of model residuals

Visualisation

Time-series showing actual consumption and predicted zones

Gamification

League table showing building performance

Impact

energy communities and smart cities book

Journal articles

Conference papers